Movimiento Rectilíneo Uniforme:
Un cuerpo cualquiera se encuentra en movimiento con relación a un punto fijo llamado referencia, a medida que transcurre el tiempo, la posición del cuerpo hacia ese punto va variando relativamente. Porque dicho cuerpo va describiendo una trayectoria (figura unida por varios puntos) mientras transcurre el tiempo. Si la trayectoria del cuerpo es en línea recta, el movimiento es rectilíneo, si es una curva es curvilíneo y si es una circunferencia será un movimiento circular. Un movimiento es uniforme cuando un móvil recorre distancias iguales en tiempos iguales, de tal manera que su velocidad no varíe por toda su trayectoria. La velocidad estará representada por la distancia recorrida en cada unidad de tiempo, es decir el cociente entre la distancia y el tiempo empleado en recorrerla.
La fórmula fundamental de la velocidad es: V = d / t
ACTIVIDADES DE APLICACIONES
1) Un tren se desplaza una distancia de 2470 metros en un tiempo de 850 segundos. ¿Cuál será su velocidad y cómo sería el gráfico de interpretación?

2) Un móvil realiza una distancia de 98 km durante un tiempo de 2 horas, calcular y graficar su velocidad.
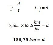
3) Un automóvil marcha a una velocidad de 63,5 km/h, cuánta distancia realizó en un tiempo de 2,5 horas y cómo es el gráfico interpretado?.Luego exprese la velocidad de 63,5 km/h en m/seg.

4) Una camioneta va con una velocidad de 62km/h, habiendo recorrido una distancia de 130 Km. Se necesita saber cuánto tiempo tardó en llegar a destino, además del gráfico de interpretación.
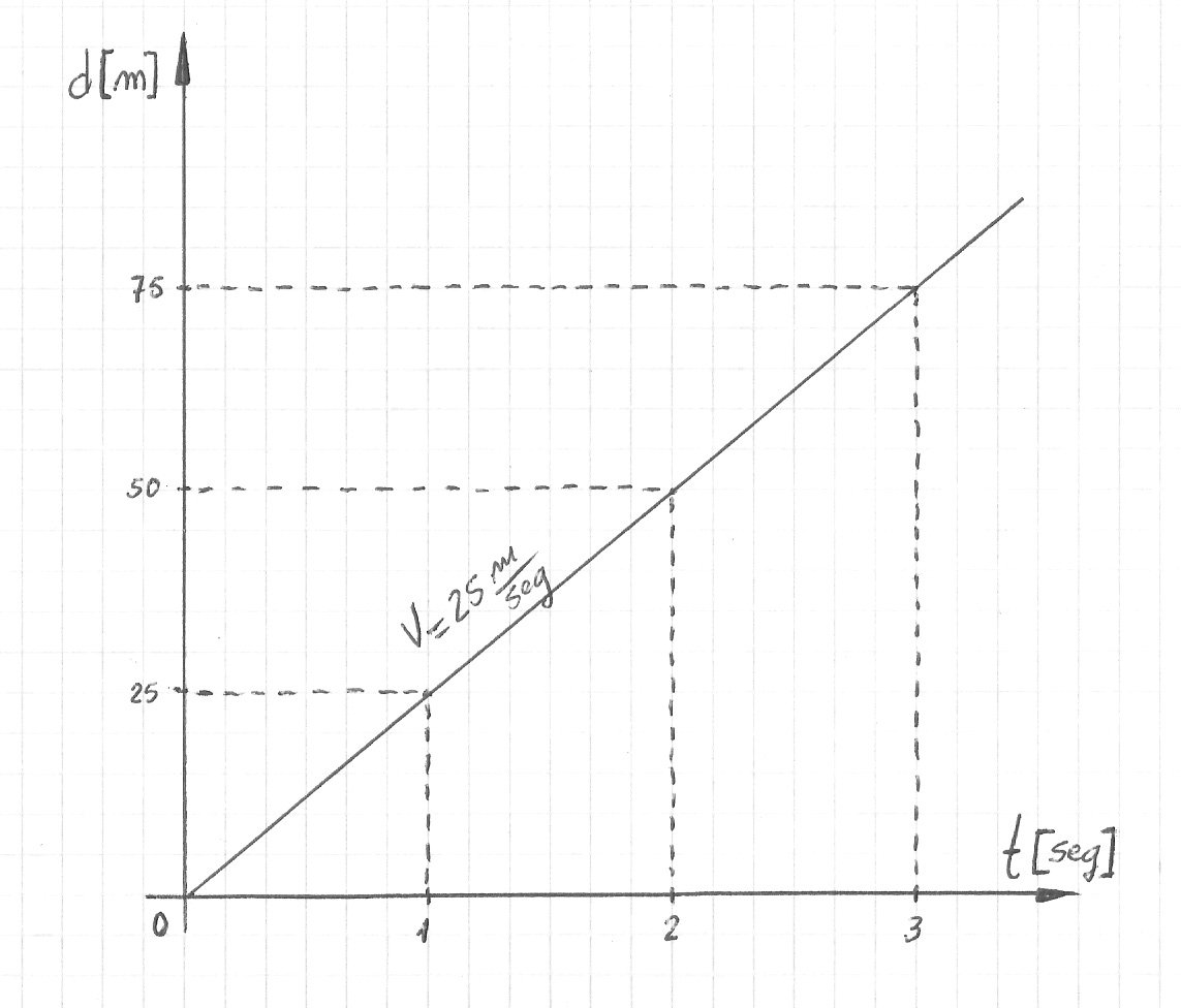
5) Representar gráficamente las siguientes velocidades en donde la "distancia este en función del tiempo":
a) 25 m/seg
b) 60 Km/h.
